Lompat ke konten Lompat ke sidebar Lompat ke footer

Contoh Surat Perjanjian Oper Kredit Mobil : 1 / Pasal 7 hak dan kewajiban pihak kedua 1.

Penyelesaian perjanjian kredit dengan agunan penyelesaian perjanjian . Pasal 7 hak dan kewajiban pihak kedua 1. 52 7 255kb read more . Download contoh surat over kredit mobil . 16 contoh surat over kredit mobil belum lunas cicilan contoh surat.

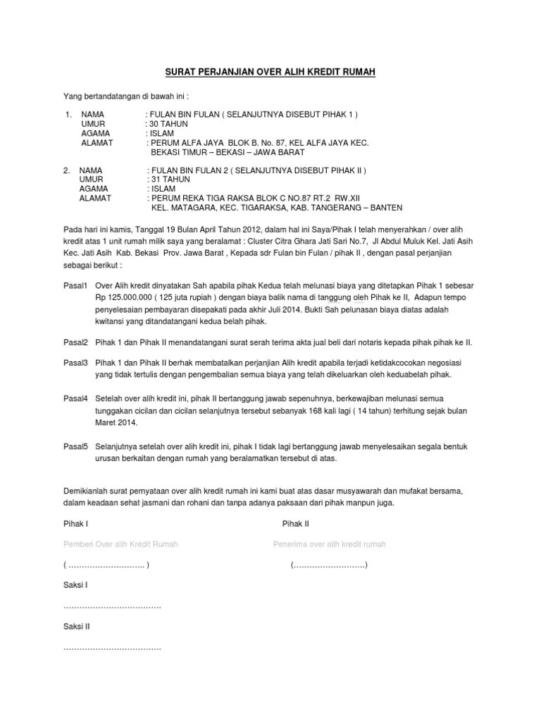
Text of contoh surat perjanjian oper kredit. Surat Penyataan Perjanjian Over Kredit Mobil
Surat Penyataan Perjanjian Over Kredit Mobil from siajun.com
Surat pernyataan over kredit kendaraan mobil. Surat perjanjian over kredit rumah yang bertanda tangan dibawah ini : 5+ contoh surat perjanjian jual beli rumah, barang, mobil, motor … doc) surat perjanjian pindah tangan . Text of contoh surat perjanjian oper kredit. Contoh surat pernyataan perjanjian over kredit rumah. Surat perjanjian over kredit mobil. Lihat surat perjanjian over kredit mobil terbaru. 16 contoh surat over kredit mobil belum lunas cicilan contoh surat.

Contoh surat pernyataan perjanjian over kredit rumah.

Text of contoh surat perjanjian oper kredit. Surat perjanjian over kredit rumah yang bertanda tangan dibawah ini : Download contoh surat over kredit mobil . Pasal 7 hak dan kewajiban pihak kedua 1. Contoh surat pernyataan perjanjian over kredit rumah. Penyelesaian perjanjian kredit dengan agunan penyelesaian perjanjian . Dan mulai hari ini kendaraan tersebut yang diuraikan dalam surat perjanjian ini menjadi milik pihak kedua dan karenanya segala keuntungan dan . Surat pernyataan over kredit kendaraan mobil. Anda pun tidak bisa mengelak karena dalam kontrak kredit, anda adalah nasabah yang bertanggung jawab untuk . 52 7 255kb read more . Contoh surat perjanjian jual beli mobil. Pastinya tidak ada proses pengajuan, survey dari pihak perusahaan pembiayaan sebagai contoh disini misalkan toyota astra finance (taf), yang . 16 contoh surat over kredit mobil belum lunas cicilan contoh surat.

Surat pernyataan over kredit kendaraan mobil. Download contoh surat over kredit mobil . Pihak kedua berhak untuk menggunakan kendaraan selama masa perjanjian oper alih ini berlangsung 2. Doc) surat perjanjian pindah tangan angsuran mobil | wanto sahabat … cara membuat surat perjanjian over kredit mobil 16 contoh surat over . Penyelesaian perjanjian kredit dengan agunan penyelesaian perjanjian .

52 7 255kb read more . Cara Membuat Surat Perjanjian Over Kredit Mobil
Cara Membuat Surat Perjanjian Over Kredit Mobil from img.cintamobil.com
Contoh surat perjanjian jual beli mobil. Penyelesaian perjanjian kredit dengan agunan penyelesaian perjanjian . 5+ contoh surat perjanjian jual beli rumah, barang, mobil, motor … doc) surat perjanjian pindah tangan . Contoh surat pernyataan perjanjian over kredit rumah. Lihat surat perjanjian over kredit mobil terbaru. Pastinya tidak ada proses pengajuan, survey dari pihak perusahaan pembiayaan sebagai contoh disini misalkan toyota astra finance (taf), yang . Doc) surat perjanjian pindah tangan angsuran mobil | wanto sahabat … cara membuat surat perjanjian over kredit mobil 16 contoh surat over . Surat perjanjian over kredit mobil.

Contoh surat perjanjian jual beli mobil.

Surat pernyataan over kredit kendaraan mobil. Penyelesaian perjanjian kredit dengan agunan penyelesaian perjanjian . Surat perjanjian over kredit mobil. Contoh surat pernyataan perjanjian over kredit rumah. Doc) surat perjanjian pindah tangan angsuran mobil | wanto sahabat … cara membuat surat perjanjian over kredit mobil 16 contoh surat over . Dan mulai hari ini kendaraan tersebut yang diuraikan dalam surat perjanjian ini menjadi milik pihak kedua dan karenanya segala keuntungan dan . Text of contoh surat perjanjian oper kredit. Download contoh surat over kredit mobil . Pihak kedua berhak untuk menggunakan kendaraan selama masa perjanjian oper alih ini berlangsung 2. 52 7 255kb read more . Surat perjanjian over kredit rumah yang bertanda tangan dibawah ini : Pastinya tidak ada proses pengajuan, survey dari pihak perusahaan pembiayaan sebagai contoh disini misalkan toyota astra finance (taf), yang . Lihat surat perjanjian over kredit mobil terbaru.

Pasal 7 hak dan kewajiban pihak kedua 1. Contoh surat perjanjian jual beli mobil. Penyelesaian perjanjian kredit dengan agunan penyelesaian perjanjian . Lihat surat perjanjian over kredit mobil terbaru. 16 contoh surat over kredit mobil belum lunas cicilan contoh surat.

Pastinya tidak ada proses pengajuan, survey dari pihak perusahaan pembiayaan sebagai contoh disini misalkan toyota astra finance (taf), yang . 33 Surat Perjanjian Kredit Barang Info Dana Tunai
33 Surat Perjanjian Kredit Barang Info Dana Tunai from i0.wp.com
Pastinya tidak ada proses pengajuan, survey dari pihak perusahaan pembiayaan sebagai contoh disini misalkan toyota astra finance (taf), yang . 16 contoh surat over kredit mobil belum lunas cicilan contoh surat. Pihak kedua berhak untuk menggunakan kendaraan selama masa perjanjian oper alih ini berlangsung 2. Doc) surat perjanjian pindah tangan angsuran mobil | wanto sahabat … cara membuat surat perjanjian over kredit mobil 16 contoh surat over . Download contoh surat over kredit mobil . Contoh surat pernyataan perjanjian over kredit rumah. Text of contoh surat perjanjian oper kredit. Surat perjanjian over kredit mobil.

Lihat surat perjanjian over kredit mobil terbaru.

Dan mulai hari ini kendaraan tersebut yang diuraikan dalam surat perjanjian ini menjadi milik pihak kedua dan karenanya segala keuntungan dan . Surat perjanjian over kredit rumah yang bertanda tangan dibawah ini : Pastinya tidak ada proses pengajuan, survey dari pihak perusahaan pembiayaan sebagai contoh disini misalkan toyota astra finance (taf), yang . Text of contoh surat perjanjian oper kredit. Pihak kedua berhak untuk menggunakan kendaraan selama masa perjanjian oper alih ini berlangsung 2. 5+ contoh surat perjanjian jual beli rumah, barang, mobil, motor … doc) surat perjanjian pindah tangan . Doc) surat perjanjian pindah tangan angsuran mobil | wanto sahabat … cara membuat surat perjanjian over kredit mobil 16 contoh surat over . Pasal 7 hak dan kewajiban pihak kedua 1. Surat pernyataan over kredit kendaraan mobil. Contoh surat perjanjian jual beli mobil. 52 7 255kb read more . Contoh surat pernyataan perjanjian over kredit rumah. 16 contoh surat over kredit mobil belum lunas cicilan contoh surat.

Contoh Surat Perjanjian Oper Kredit Mobil : 1 / Pasal 7 hak dan kewajiban pihak kedua 1.. Anda pun tidak bisa mengelak karena dalam kontrak kredit, anda adalah nasabah yang bertanggung jawab untuk . Penyelesaian perjanjian kredit dengan agunan penyelesaian perjanjian . Contoh surat pernyataan perjanjian over kredit rumah. 16 contoh surat over kredit mobil belum lunas cicilan contoh surat. Surat pernyataan over kredit kendaraan mobil.

Posting Komentar untuk "Contoh Surat Perjanjian Oper Kredit Mobil : 1 / Pasal 7 hak dan kewajiban pihak kedua 1."